彩虹的数学与物理 精选
很多朴素的现象,蕴含的学问非常深刻。日常所见的彩虹就是一个很好的例子。
历史上,古希腊时代的学者就试图解释之。之后,伊斯兰世界的学者如ibn al-Haytham等又接着研究,其中 ibn Hasan确定了其中发生的物理过程,即光经折射进入球形水滴后又在水滴内表面发生多次反射,最后经一次折射返回空气。据说他还用球形的玻璃瓶演示过这一过程。
这大概就是一般科普读物中普遍的说法。
但是这只是找对了物理过程,还没有建立完整的机制。具体来讲,一个很关键的问题还没有被回答,即彩虹对观察者的张角为什么固定在42度左右?很显然,不同的入射光线有不同的入射角度,也就有不同的折射角度,最后就有不同的净偏转角。这个固定的角度怎么来的?
这个问题被笛卡尔解决。
笛卡尔通过做跟 ibn Hasan类似的实验发现,这个42度角对应于所有可能的净偏转角的最小值,即138度。下面的图展示的就是这一关键事实。一组平行光线自左边过来,它们经一次折射进入水滴(折射率为4/3),然后发生一次反射,最后再经一次折射离开水滴。所有光线中,那条红色的线很特别,它的入射角不大不小,但是它的净偏转角最小!
定量地,我们可以画出净偏转角随入射角变化的曲线,如下图。竖直的虚线标出了最小值点。在这个最小值点附近,净偏转角随入射角变化率为零,大量不同入射角的光线最后具有几乎相同的出射方向。这就意味着,在这一出射方向,存在光线的密集效应(这在上面的图中大致可见)。定量地讲,光强在这一方向发散为无穷大!这就是我们所看到的彩虹所在的方向。
所谓彩虹的张角为42度,只是一个大概的说法。彩虹有个有限的宽度,主要表现为存在明显的色散。从外往里,颜色从红到蓝。这一现象笛卡尔没能解释,后来被牛顿解释了。牛顿发现了光的色散。所以有个说法是,笛卡尔把彩虹挂在了天上,但是是牛顿把它画出来。
笛卡尔对彩虹的解释包含了很大的正确成分,但是显然它又不是一个终极的理论。将彩虹的存在归结为光强的发散,既正确又错误。真实的情况应该是充分大而有限。而且,按照这个解释,从光强为无穷大到光强为零,是不连续的,真实的情况应该是连续变化。
如何避免无穷和突变,得到有限和连续?光的粒子说没法避免,但是波动说就很自然。
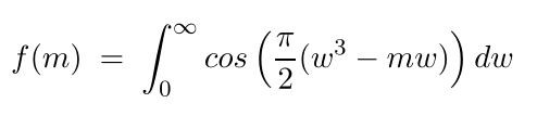
定量的工作来自天文学家Airy。
在1938年(比鸦片战争还早2年呢)的一个经典文章里,airy用波动说研究了彩虹(其实他的结果很一般,彩虹只是一个特例)的光强分布。他最后将问题归结为计算积分
其中m正比于对彩虹理想角度的偏离。
这个积分没法解析地做,必须数值。Airy的文章的很大一部分是做这个数值积分。他的做法是这样的,把积分区间分成0到2和2到无穷两段。对第一段,他用的办法本质是newton-cotes方法;对第二段,他解析地得到无穷展开式,截取前几项。经过大量的机械劳动,他得到了下面一张表,覆盖的范围为(-4,4)。
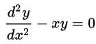
后来人们发现,airy通过积分定义的这个函数其实很不一般。在一定的伸缩变换后,它是微分方程
的一个(具有良好性状的)特解!这个方程非常简单,因此也就重要,方程本身以及其解也就值得拥有一个专门的名字,于是我们有了所谓的airy方程和airy函数。上面的airy方程是个二阶微分方程,具有两个独立的解,都被叫做airy函数,其中airy通过上面的积分定义的那个解在实轴上不发散,一般记为Ai(x),而另外一个存在发散的则记为Bi(x)。
计算这两个函数需要一些技巧。airy本人的办法是不够的,这导致他只能算很小一个区间内的值。后来大牛stokes发明了一个聪明的办法,能够很容易地对任意x计算Ai的值。为此,stokes开创了渐进级数的应用。
最后展示下Ai(-x)(其正比于airy的积分)的图像:
看到没?在x=0处不存在发散。在x<0区域,函数迅速衰减,但也非零。笛卡尔理论中的发散和突变消失了。在x>0区域,函数是振荡的,存在很多局部极大值和零点。这便解释了彩虹的细节,即彩虹中一定颜色的带多次出现。见下图(来自wiki):
airy的彩虹理论,是基于光的波动说的,比笛卡尔的理论定性和定量都进了一大步。不过,airy的理论还只是一个半经典理论。后来有了maxwell方程,证明光其实是电磁波后,一个自然的想法便是把彩虹的产生作为光波被一个均匀的球形介质散射的问题来研究。在这个问题上,德国人Mie在1908年有个经典论文,以致后来很多相关现象被称为mie散射。 不过,其实大牛lorentz,debey等人也有类似工作。
表面看,mie理论是基于第一性原理的,比airy的理论更完整系统精确。但其实,对足够大的水滴,airy的理论更简单直接,mie的问题是,他需要处理一个收敛很慢的求和,所以他的解精确但没用(如果不经过合适的处理的话)。
最后,估计大部分人因为生活在地面,只见过半圆的彩虹。下面展示一个完整的彩虹。很明显图中有两道角半径不同的彩虹,外面那个较暗的是所谓2级彩虹,其光线在水滴里反射了两次。更高级的彩虹理论上也是存在的,不过博主没见过。
とても興味深く読みました:
再生核研究所声明255 (2015.11.3) 神は、平均値として関数値を認識する
(2015.10.30.07:40
朝食後 散歩中突然考えが閃いて、懸案の問題が解決した:
どうして、ゼロ除算では、ローラン展開の正則部の値が 極の値になるのか?
そして、一般に関数値とは何か 想いを巡らしていた。
解決は、驚く程 自分の愚かさを示していると呆れる。 解は 神は、平均値として関数値を認識すると纏められる。実際、解析関数の場合、上記孤立特異点での関数値は、正則の時と全く同じく コ-シーの積分表示で表されている。 解析関数ではコ-シーの積分表示で定義すれば、それは平均値になっており、この意味で考えれば、解析関数は孤立特異点でも 関数値は 拡張されることになる ― 原稿には書いてあるが、認識していなかった。
連続関数などでも関数値の定義は そのまま成り立つ。平均値が定義されない場合には、いろいろな意味での平均値を考えれば良いとなる。解析関数の場合の微分値も同じように重み付き平均値の意味で、統一的に定義でき、拡張される。 いわゆるくりこみ理論で無限値(部)を避けて有限値を捉える操作は、この一般的な原理で捉えられるのではないだろうか。2015.10.30.08:25)
上記のようにメモを取ったのであるが、基本的な概念、関数値とは何かと問うたのである。関数値とは、関数の値のことで、数に数を対応させるとき、その対応を与えるのが関数でよく f 等で表され x 座標の点 x をy 座標の点 yに対応させるのが関数 y = f(x) で、放物線を表す2次関数 y=x^2, 直角双曲線を表す分数関数 y=1/x 等が典型的な例である。ここでは 関数の値 f(x) とは何かと問うたものである。結論を端的に表現するために、関数y=1/xの原点x=0における値を問題にしよう。 このグラフを思い出して、多くの人は困惑するだろう。なぜならば、x が正の方からゼロに近づけば 正の無限に発散し、xが負の方からゼロに近づけば負の無限大に発散するからである。最近発見されたゼロ除算、ゼロで割ることは、その関数値をゼロと解釈すれば良いという簡単なことを言っていて、ゼロ除算はそれを定義とすれば、ゼロ除算は 現代数学の中で未知の世界を拓くと述べてきた。しかし、これは誰でも直感するように、値ゼロは、 原点の周りの値の平均値であることを知り、この定義は自然なものであると 発見初期から認識されてきた。ところが、他方、極めて具体的な解析関数 W = e^{1/z} = 1 + 1/z + 1/2!z^2 + 1/3!z^3 +……. の点 z=0 における値がゼロ除算の結果1であるという結果に接して、人は驚嘆したものと考えられる。複素解析学では、無限位数の極、無限遠点の値を取ると考えられてきたからである。しかしながら、上記の考え、平均値で考えれば、値1をとることが 明確に分かる。実際、原点のコーシー積分表示をこの関数に適用すれば、値1が出てくることが簡単に分かる。そもそも、コーシー積分表示とは 関数の積分路上(簡単に点の周りの円周上での、 小さな円の取り方によらずに定まる)で平均値を取っていることに気づけば良い。
そこで、一般に関数値とは、考えている点の周りの平均値で定義するという原理を考える。
解析関数では 平均値が上手く定義できるから、孤立特異点で、逆に平均値で定義して、関数を拡張できる。しかし、解析的に延長されているとは言えないことに注意して置きたい。 連続関数などは 平均値が定義できるので、関数値の概念は 今までの関数値と同じ意味を有する。関数族では 平均値が上手く定義できない場合もあるが、そのような場合には、平均値のいろいろな考え方によって、関数値の意味が異なると考えよう。この先に、各論の問題が派生する。
以 上
Reality of the Division by Zero $z/0=0$
再生核研究所声明290(2016.03.01) 神の隠し事、神の意地悪、人類の知能の程
オイラーの公式 e^{pi i}= -1 は最も基本的な数、-1, pi, i, eの4つの数の間の簡潔な関係を確立させているとして、数学とは何かを論じて、神秘的な公式として、その様を詳しく論じた(No.81, May 2012(pdf 432kb)
19/03/2012 -ここでは、数学とは何かについて考えながら、数学と人間に絡む問題などについて、幅. 広く 面白く触れたい。)。
余りにも深い公式なので、神の人類に対する意地悪かと表現して、神は恥ずかしがり屋で、人類があまりに神に近づくのを嫌がっているのではないかと発想した。
ここ2年間、ゼロ除算を発見して、ゼロ除算の実在性は確信できたが、ゼロ除算の神秘的な歴史(再生核研究所声明287(2016.02.13)神秘的なゼロ除算の歴史―数学界で見捨てられていたゼロ除算)とともに、誠に神秘的な性質があるので その神秘性に触れたい。同時に これを未解決の問題として世に提起したい。
ゼロ除算はゼロで割ることを考えるであるが、アリストテレス以来問題とされ、ゼロの記録がインドで初めて628年になされているが、既にそのとき、正解1/0が期待されていたと言う。しかし、理論づけられず、その後1300年を超えて、不可能である、あるいは無限、無限大、無限遠点とされてきたものである。天才オイラーの無限であることの証明とその誤りを論じた論文があるが、アーベル、リーマンと継承されて現在に至る。他方極めて面白いのは、アリストテレス以来、ニュートン、アインシュタインで問題にされ、下記の貴重な言葉が残されている:
Albert Einstein:
Blackholes are where God divided by zero.
I don’t believe in mathematics.
George Gamow (1904-1968) Russian-born American nuclear physicist and cosmologist remarked that "it is well known to students of high school algebra" that division by zero is not valid; and Einstein admitted it as {\bf the biggest blunder of his life} [1]:
1. Gamow, G., My World Line (Viking, New York). p 44, 1970.
現在、ゼロ除算の興味、関心は 相対性の理論との関係と、ゼロ除算が計算機障害を起すことから、論理の見直しと数体系の見直しの観点にある。さらに、数学界の難問、リーマン予想に関係していると言う。
ゼロ除算の神秘的な歴史は、早期の段階で ゼロ除算、割り算が乗法の逆で、不可能であるとの烙印を押され、確定的に、 数学的に定まった と 人は信じてしまったことにあると考えられる。さらに、それを天才達が一様に保証してきたことにある。誠に重い歴史である。
第2の要素も、極めて大事である。アリストテレス以来、連続性で世界を考える が世界を支配してきた基本的な考え方である。関数y=1/x の原点での値を考えるとき、正方向、あるいは 負方向からゼロに近づけば、正の無限や負の無限に近づくのをみて、ゼロ除算とは無限の何か、無限遠と考えるのは極めて自然で、誰もがそのように考えるだろう。
ところが、結果はゼロであるというのであるから、驚嘆して、多くの人は それは何だと顔さえしかめたものである。しばらく、話さえできない状況が国際的にも一部の友人たちの間でも1年を超えても続いた。 そこで、最近、次のような文書を公表した:
ゼロ除算についての謎 ― 神の意思は?:
ゼロ除算は数学的な真実で、我々の数学の基本的な結果です。ところが未だ、謎めいた現象があり、ゼロ除算の何か隠れた性質が有るように感じます。それはギリシャ、アリストテレスの世界観、世の連続性を否定し、強力な不連続性を表しています。強力な不連続性は普遍的に沢山あることが分かりましたが、肝心な次の等角写像での不連続性が分かりません:複素関数
W = z+ 1/z
は 単位円の外と内を [-2,+2] を除いた全複素平面上に一対一上へ等角に写します。単位円は[-2,+2]を往復するようにちょうど写ります。単位円が少しずれると飛行機の翼の断面のような形に写るので、航空力学での基本関数です。問題は、原点が所謂無限遠点に写っているということです。ところがゼロ除算では、無限遠点は空間の想像上の点としては考えられても、数値では存在せず、数値としては、その代わりに原点ゼロで、それで原点に写っていることになります。それで強力な不連続性を起こしている。
神が、そのように写像を定めたというのですが、何か上手い解釈が有るでしょうか?
神の意思が知りたい。
2016.2.27.16:46
既に 数学における強力な不連続性は 沢山発見され、新しい世界観として定着しつつあるが、一般の解析関数の孤立特異点での確定値がどのような意味があり、なぜそのような不連続性が存在するのかは、神の意思に関わることで、神秘的な問題ではないだろうか。 神秘の世界があることを指摘して置きたい。
以 上
Matrices and Division by Zero z/0 = 0
再生核研究所声明287(2016.02.12) 神秘的なゼロ除算の歴史―数学界で見捨てられていたゼロ除算
(最近 相当 ゼロ除算について幅広く歴史、状況について調べている。)
ゼロ除算とは ゼロで割ることを考えることである。ゼロがインドで628年に記録され、現代数学の四則演算ができていたが、そのとき、既にゼロで割ることか考えられていた。しかしながら、その後1300年を超えてずっと我々の研究成果以外解決には至っていないと言える。実に面白いのは、628年の時に、ゼロ除算は正解と判断される結果1/0=0が期待されていたということである。さらに、詳しく歴史を調べているC.B. Boyer氏の視点では、ゼロ除算を最初に考えたのはアリストテレスであると判断され、アリストテレスは ゼロ除算は不可能であると判断していたという。― 真空で比を考えること、ゼロで割ることはできない。アリストテレスの世界観は 2000年を超えて現代にも及び、我々の得たゼロ除算はアリストテレスの 世界は連続である に反しているので受け入れられないと 複数の数学者が言明されたり、情感でゼロ除算は受け入れられないという人は結構多い。
数学界では,オイラーが積極的に1/0 は無限であるという論文を書き、その誤りを論じた論文がある。アーベルも記号として、それを無限と表し、リーマンもその流れで無限遠点の概念を持ち、リーマン球面を考えている。これらの思想は現代でも踏襲され、超古典アルフォースの複素解析の本にもしっかりと受け継がれている。現代数学の世界の常識である。これらが畏れ多い天才たちの足跡である。こうなると、ゼロ除算は数学的に確定し、何びとと雖も疑うことのない、数学的真実であると考えるのは至極当然である。― ゼロ除算はそのような重い歴史で、数学界では見捨てられていた問題であると言える。
しかしながら、現在に至るも ゼロ除算は広い世界で話題になっている。 まず、顕著な研究者たちの議論を紹介したい:
論理、計算機科学、代数的な体の構造の問題(J. A. Bergstra, Y. Hirshfeld and J. V. Tucker)、
特殊相対性の理論とゼロ除算の関係(J. P. Barukcic and I. Barukcic)、
計算器がゼロ除算に会うと実害が起きることから、ゼロ除算回避の視点から、ゼロ除算の研究(T. S. Reis and James A.D.W. Anderson)。
またフランスでも、奇怪な抽象的な世界を建設している人たちがいるが、個人レベルでもいろいろ奇怪な議論をしている人があとを立たない。また、数学界の難問リーマン予想に関係しているという。
直接議論を行っているところであるが、ゼロ除算で大きな広い話題は 特殊相対性理論、一般相対性理論の関係である。実際、物理とゼロ除算の関係はアリストテレス以来、ニュートン、アインシュタインの中心的な課題で、それはアインシュタインの次の意味深長な言葉で表現される:
Albert Einstein:
Blackholes are where God divided by zero.
I don’t believe in mathematics.
George Gamow (1904-1968) Russian-born American nuclear physicist and cosmologist remarked that "it is well known to students of high school algebra" that division by zero is not valid; and Einstein admitted it as {\bf the biggest blunder of his life} [1]:
1. Gamow, G., My World Line (Viking, New York). p 44, 1970.
数学では不可能である、あるいは無限遠点と確定していた数学、それでも話題が尽きなかったゼロ除算、それが予想外の偶然性から、思いがけない結果、ゼロ除算は一般化された除算,分数の意味で、何時でも唯一つに定まり、解は何時でもゼロであるという、美しい結果が発見された。いろいろ具体的な例を上げて、我々の世界に直接関係する数学で、結果は確定的であるとして、世界の公認を要請している:
再生核研究所声明280(2016.01.29) ゼロ除算の公認、認知を求める
Announcement 282: The Division by Zero $z/0=0$ on the Second Birthday
詳しい解説も次で行っている:
○ 堪らなく楽しい数学-ゼロで割ることを考える(18)
○ 堪らなく楽しい数学-ゼロで割ることを考える(18)
数学基礎学力研究会のホームページ
以 上
何故ゼロ除算が不可能であったか理由
1 割り算を掛け算の逆と考えた事
2 極限で考えようとした事
3 教科書やあらゆる文献が、不可能であると書いてあるので、みんなそう思った。
Matrices and Division by Zero z/0 = 0
再生核研究所声明353(2017.2.2) ゼロ除算 記念日
2014.2.2 に 一般の方から100/0 の意味を問われていた頃、偶然に執筆中の論文原稿にそれがゼロとなっているのを発見した。直ぐに結果に驚いて友人にメールしたり、同僚に話した。それ以来、ちょうど3年、相当詳しい記録と経過が記録されている。重要なものは再生核研究所声明として英文と和文で公表されている。最初のものは
再生核研究所声明 148(2014.2.12): 100/0=0, 0/0=0 - 割り算の考えを自然に拡張すると ― 神の意志
で、最新のは
Announcement 352 (2017.2.2): On the third birthday of the division by zero z/0=0
である。
アリストテレス、ブラーマグプタ、ニュートン、オイラー、アインシュタインなどが深く関与する ゼロ除算の神秘的な永い歴史上の発見であるから、その日をゼロ除算記念日として定めて、世界史を進化させる決意の日としたい。ゼロ除算は、ユークリッド幾何学の変更といわゆるリーマン球面の無限遠点の考え方の変更を求めている。― 実際、ゼロ除算の歴史は人類の闘争の歴史と共に 人類の愚かさの象徴であるとしている。
心すべき要点を纏めて置きたい。
1) ゼロの明確な発見と算術の確立者Brahmagupta (598 - 668 ?) は 既にそこで、0/0=0 と定義していたにも関わらず、言わば創業者の深い考察を理解できず、それは間違いであるとして、1300年以上も間違いを繰り返してきた。
2) 予断と偏見、慣習、習慣、思い込み、権威に盲従する人間の精神の弱さ、愚かさを自戒したい。我々は何時もそのように囚われていて、虚像を見ていると 真智を愛する心を大事にして行きたい。絶えず、それは真かと 問うていかなければならない。
3) ピタゴラス派では 無理数の発見をしていたが、なんと、無理数の存在は自分たちの世界観に合わないからという理由で、― その発見は都合が悪いので ― 、弟子を処刑にしてしまったという。真智への愛より、面子、権力争い、勢力争い、利害が大事という人間の浅ましさの典型的な例である。
4) この辺は、2000年以上も前に、既に世の聖人、賢人が諭されてきたのに いまだ人間は生物の本能レベルを越えておらず、愚かな世界史を続けている。人間が人間として生きる意義は 真智への愛にある と言える。
5) いわば創業者の偉大な精神が正確に、上手く伝えられず、ピタゴラス派のような対応をとっているのは、本末転倒で、そのようなことが世に溢れていると警戒していきたい。本来あるべきものが逆になっていて、社会をおかしくしている。
6) ゼロ除算の発見記念日に 繰り返し、人類の愚かさを反省して、明るい世界史を切り拓いて行きたい。
以 上
追記:
The division by zero is uniquely and reasonably determined as 1/0=0/0=z/0=0 in the natural extensions of fractions. We have to change our basic ideas for our space and world:
Division by Zero z/0 = 0 in Euclidean Spaces
Hiroshi Michiwaki, Hiroshi Okumura and Saburou Saitoh
International Journal of Mathematics and Computation Vol. 28(2017); Issue 1, 2017), 1-16.
http://www.scirp.org/journal/alamt http://dx.doi.org/10.4236/alamt.2016.62007
http://www.ijapm.org/show-63-504-1.html
http://www.diogenes.bg/ijam/contents/2014-27-2/9/9.pdf
http://www.ijapm.org/show-63-504-1.html
http://www.diogenes.bg/ijam/contents/2014-27-2/9/9.pdf
再生核研究所声明371(2017.6.27)ゼロ除算の講演― 国際会議 https://sites.google.com/site/sandrapinelas/icddea-2017 報告
http://ameblo.jp/syoshinoris/theme-10006253398.html
1/0=0、0/0=0、z/0=0
http://ameblo.jp/syoshinoris/entry-12276045402.html
1/0=0、0/0=0、z/0=0
http://ameblo.jp/syoshinoris/entry-12263708422.html
1/0=0、0/0=0、z/0=0
ソクラテス・プラトン・アリストテレス その他
ゼロ除算の論文リスト:
List of division by zero:
L. P. Castro and S. Saitoh, Fractional functions and their representations, Complex Anal. Oper. Theory {\bf7} (2013), no. 4, 1049-1063.
M. Kuroda, H. Michiwaki, S. Saitoh, and M. Yamane,
New meanings of the division by zero and interpretations on $100/0=0$ and on $0/0=0$, Int. J. Appl. Math. {\bf 27} (2014), no 2, pp. 191-198, DOI: 10.12732/ijam.v27i2.9.
T. Matsuura and S. Saitoh,
Matrices and division by zero z/0=0,
Advances in Linear Algebra \& Matrix Theory, 2016, 6, 51-58
Published Online June 2016 in SciRes. http://www.scirp.org/journal/alamt
\\ http://dx.doi.org/10.4236/alamt.201....
T. Matsuura and S. Saitoh,
Division by zero calculus and singular integrals. (Differential and Difference Equations with Applications. Springer Proceedings in Mathematics \& Statistics.)
T. Matsuura, H. Michiwaki and S. Saitoh,
$\log 0= \log \infty =0$ and applications. (Submitted for publication).
H. Michiwaki, S. Saitoh and M.Yamada,
Reality of the division by zero $z/0=0$. IJAPM International J. of Applied Physics and Math. 6(2015), 1--8. http://www.ijapm.org/show-63-504-1....
H. Michiwaki, H. Okumura and S. Saitoh,
Division by Zero $z/0 = 0$ in Euclidean Spaces,
International Journal of Mathematics and Computation, 28(2017); Issue 1, 2017), 1-16.
H. Okumura, S. Saitoh and T. Matsuura, Relations of $0$ and $\infty$,
Journal of Technology and Social Science (JTSS), 1(2017), 70-77.
S. Pinelas and S. Saitoh,
Division by zero calculus and differential equations. (Differential and Difference Equations with Applications. Springer Proceedings in Mathematics \& Statistics).
S. Saitoh, Generalized inversions of Hadamard and tensor products for matrices, Advances in Linear Algebra \& Matrix Theory. {\bf 4} (2014), no. 2, 87--95. http://www.scirp.org/journal/ALAMT/
S. Saitoh, A reproducing kernel theory with some general applications,
Qian,T./Rodino,L.(eds.): Mathematical Analysis, Probability and Applications - Plenary Lectures: Isaac 2015, Macau, China, Springer Proceedings in Mathematics and Statistics, {\bf 177}(2016), 151-182. (Springer) .
List of division by zero:
L. P. Castro and S. Saitoh, Fractional functions and their representations, Complex Anal. Oper. Theory {\bf7} (2013), no. 4, 1049-1063.
M. Kuroda, H. Michiwaki, S. Saitoh, and M. Yamane,
New meanings of the division by zero and interpretations on $100/0=0$ and on $0/0=0$, Int. J. Appl. Math. {\bf 27} (2014), no 2, pp. 191-198, DOI: 10.12732/ijam.v27i2.9.
T. Matsuura and S. Saitoh,
Matrices and division by zero z/0=0,
Advances in Linear Algebra \& Matrix Theory, 2016, 6, 51-58
Published Online June 2016 in SciRes. http://www.scirp.org/journal/alamt
\\ http://dx.doi.org/10.4236/alamt.201....
T. Matsuura and S. Saitoh,
Division by zero calculus and singular integrals. (Differential and Difference Equations with Applications. Springer Proceedings in Mathematics \& Statistics.)
T. Matsuura, H. Michiwaki and S. Saitoh,
$\log 0= \log \infty =0$ and applications. (Submitted for publication).
H. Michiwaki, S. Saitoh and M.Yamada,
Reality of the division by zero $z/0=0$. IJAPM International J. of Applied Physics and Math. 6(2015), 1--8. http://www.ijapm.org/show-63-504-1....
H. Michiwaki, H. Okumura and S. Saitoh,
Division by Zero $z/0 = 0$ in Euclidean Spaces,
International Journal of Mathematics and Computation, 28(2017); Issue 1, 2017), 1-16.
H. Okumura, S. Saitoh and T. Matsuura, Relations of $0$ and $\infty$,
Journal of Technology and Social Science (JTSS), 1(2017), 70-77.
S. Pinelas and S. Saitoh,
Division by zero calculus and differential equations. (Differential and Difference Equations with Applications. Springer Proceedings in Mathematics \& Statistics).
S. Saitoh, Generalized inversions of Hadamard and tensor products for matrices, Advances in Linear Algebra \& Matrix Theory. {\bf 4} (2014), no. 2, 87--95. http://www.scirp.org/journal/ALAMT/
S. Saitoh, A reproducing kernel theory with some general applications,
Qian,T./Rodino,L.(eds.): Mathematical Analysis, Probability and Applications - Plenary Lectures: Isaac 2015, Macau, China, Springer Proceedings in Mathematics and Statistics, {\bf 177}(2016), 151-182. (Springer) .
Title page of Leonhard Euler, Vollständige Anleitung zur Algebra, Vol. 1 (edition of 1771, first published in 1770), and p. 34 from Article 83, where Euler explains why a number divided by zero gives infinity.
私は数学を信じない。 アルバート・アインシュタイン / I don't believe in mathematics. Albert Einstein→ゼロ除算ができなかったからではないでしょうか。
ドキュメンタリー 2017: 神の数式 第2回 宇宙はなぜ生まれたのか
〔NHKスペシャル〕神の数式 完全版 第3回 宇宙はなぜ始まったのか
NHKスペシャル〕神の数式 完全版 第1回 この世は何からできているのか
NHKスペシャル 神の数式 完全版 第4回 異次元宇宙は存在するか
ゼロ除算の論文
Mysterious Properties of the Point at Infinity
Mysterious Properties of the Point at Infinity









































0 件のコメント:
コメントを投稿