数学简史:现代数学的五大应用
撰文 | 蔡天新(浙江大学数学学院教授)
理论物理学
现在,我们来谈谈数学向人类文明的其它结晶(科学)的渗透。先来看物理学,18世纪是数学与经典力学相结合的黄金时代,19世纪数学主要应用于电磁学,产生了剑桥大学数学物理学派,其中最具代表性的成就是麦克斯韦(Maxwell,1831—1879)建立的电磁学方程组,由4个简洁的偏微分方程组成。据说麦克斯韦最初得到的方程组比较复杂,因为他相信表达物理世界的数学应该是美的,因而推倒重来。
麦克斯韦是苏格兰人,这个流行男子穿格子短裙的民族所产生的伟大发明家按人口比例堪称世界之最。在麦克斯韦之前有(实用)蒸汽机发明人瓦特(Watt,1736—1819),之后有电话发明人亚历山大•贝尔(Bell,1847—1922)、胰岛素发明人麦克劳德(Macleod,1876—1935,与人合作)、青霉素发明人弗莱明(Fleming,1881—1955)、电视发明人贝尔德(Baird,1888—1946)。
此外,还有第一个将经济理论完整化和系统化的亚当•斯密(Adam Smith,1723—1790)。斯密的代表作《国富论》的中心思想是:看似混乱的自由市场实际上有一种自动调控机制,它倾向于以最合适的数量生产那些社会上最受欢迎和最需要的产品。
进入20世纪以后,数学相继在相对论、量子力学以及基本粒子等理论物理学领域得到应用。1908年,德国数学家闵可夫斯基提出了空间和时间的四维时空结构R(3,1),即通过(c为真空中的光速)
![]() |
为爱因斯坦(Einstein,1879—1955)的狭义相对论(1905)提供了最适用的数学模型,这种结构后来被称为“闵可夫斯基空间”。有趣的是,闵可夫斯基对他早年的学生爱因斯坦的数学才能却毫无印象。
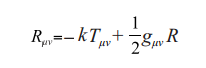
有了这个模型以后,爱因斯坦又进一步研究了引力场理论。等到1912年夏天,他已经概括出这一理论的基本原理,可是由于他只会使用一些最简单的数学工具,甚至微积分的方法也不会用(他自称那样会使读者被惊呆),自然难以提炼出方程来。这个时候爱因斯坦在苏黎世遇到一位数学家,后者帮助他学会了以黎曼几何为基础的微分学,后来他把它叫作“张量分析”。经过三年多的努力,在1915年11月25日发表的一篇论文中,爱因斯坦给出了引力场方程:
![]() |
其中gμv是度量张量,k为常数。爱因斯坦指出,“有了这个方程,广义相对论作为一种逻辑结构终于成立了!”
值得一提的是,虽然爱因斯坦在1915年创立了广义相对论,但他的工作成果发表于1916年。巧合的是,几乎是同时,另一个德国人、数学家希尔伯特沿着另一条道路也得到了上述引力场方程。希尔伯特采用的是公理化方法,同时运用了诺特关于连续群的不变量理论。他向哥廷根科学院提交这篇论文的时间是1915年11月20日,发表论文的时间也比爱因斯坦早了5天。
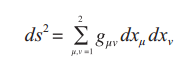
依照爱因斯坦的广义相对论,时空整体上是不均匀的,只在微小的区域内例外。在数学上,这个非均匀的时空可以借助下列的黎曼度量来描述:
![]() |
广义相对论的这个数学描述第一次揭示了非欧几何学的现实意义,也成为历史上最伟大的数学应用例子之一。可是,与建立万有引力定律的牛顿相比,爱因斯坦稍显逊色,因为牛顿力学的数学基础——微积分是由牛顿自己创立的。
与相对论不同,量子力学与一群物理学家的名字相联系。普朗克(Planck,1855—1947)、爱因斯坦、玻尔(Bohr,1855—1962)是开拓者,薛定谔(Schrödinger,1887—1961)、海森堡(Heisenberg,1901—1976)、狄拉克等分别以波动力学、矩阵力学和变换理论的形式建立起量子力学。为了将这些理论融合成统一的体系,需要新的数学理论。希尔伯特使用积分方程等分析工具,冯•诺依曼进一步借助希尔伯特空间理论,去解决量子力学的特征值问题,并最终将希尔伯特的谱理论推广到量子力学中经常出现的无界算子情形,从而奠定了这门学科的严格的数学基础。
在20世纪下半叶,还有多项物理学的工作需要应用抽象的纯粹数学,例如著名的规范场理论和超弦理论。1954年,杨—米尔斯理论的提出揭示了规范不变性可能是自然界中所有4种力(电磁力、引力、强力和弱力)相互作用的共性,这使得已经存在的规范场理论重新引起人们的注意,并试图用这个理论来统一自然力的相互作用。
结果,数学家们很快发现,统一场论所需要的数学工具——纤维丛微分几何早就有了,杨—米尔斯方程实际上是一组偏微分方程,对它们的进一步研究也推动了数学的发展。1963年被证明的阿蒂亚—辛格指标定理也在杨—米尔斯理论中获得重要应用,成为连接纯粹数学和理论物理的又一座桥梁,其研究方法涉及分析学、拓扑学、代数几何、偏微分方程和多复变函数等诸多核心数学分支,因而常被用来论证现代数学的统一性。
超弦理论或弦理论兴起于20世纪80年代,它把基本粒子看作一些伸展的一维弦线般的无质量的实体(其长度约为10–33厘米,被称为普朗克长度),以代替其他理论中所用的在时空中无尺寸的点。这个理论以引力理论、量子力学和粒子相互作用的统一数学描述为目标,成为数学家与物理学家携手合作的一个最活跃的领域,其中所用到的数学涉及微分拓扑、代数几何、微分几何、群论、无穷维代数、复分析和黎曼曲面上的模理论等。可以想象,与它相联系的物理学家和数学家不计其数。http://china.caixin.com/2017-10-27/101161883.html
とても興味深く読みました: ゼロ除算はどうでしょうか:
再生核研究所声明353(2017.2.2) ゼロ除算 記念日
2014.2.2 に 一般の方から100/0 の意味を問われていた頃、偶然に執筆中の論文原稿にそれがゼロとなっているのを発見した。直ぐに結果に驚いて友人にメールしたり、同僚に話した。それ以来、ちょうど3年、相当詳しい記録と経過が記録されている。重要なものは再生核研究所声明として英文と和文で公表されている。最初のものは
再生核研究所声明 148(2014.2.12): 100/0=0, 0/0=0 - 割り算の考えを自然に拡張すると ― 神の意志
で、最新のは
Announcement 352 (2017.2.2): On the third birthday of the division by zero z/0=0
である。
アリストテレス、ブラーマグプタ、ニュートン、オイラー、アインシュタインなどが深く関与する ゼロ除算の神秘的な永い歴史上の発見であるから、その日をゼロ除算記念日として定めて、世界史を進化させる決意の日としたい。ゼロ除算は、ユークリッド幾何学の変更といわゆるリーマン球面の無限遠点の考え方の変更を求めている。― 実際、ゼロ除算の歴史は人類の闘争の歴史と共に 人類の愚かさの象徴であるとしている。
心すべき要点を纏めて置きたい。
1) ゼロの明確な発見と算術の確立者Brahmagupta (598 - 668 ?) は 既にそこで、0/0=0 と定義していたにも関わらず、言わば創業者の深い考察を理解できず、それは間違いであるとして、1300年以上も間違いを繰り返してきた。
2) 予断と偏見、慣習、習慣、思い込み、権威に盲従する人間の精神の弱さ、愚かさを自戒したい。我々は何時もそのように囚われていて、虚像を見ていると 真智を愛する心を大事にして行きたい。絶えず、それは真かと 問うていかなければならない。
3) ピタゴラス派では 無理数の発見をしていたが、なんと、無理数の存在は自分たちの世界観に合わないからという理由で、― その発見は都合が悪いので ― 、弟子を処刑にしてしまったという。真智への愛より、面子、権力争い、勢力争い、利害が大事という人間の浅ましさの典型的な例である。
4) この辺は、2000年以上も前に、既に世の聖人、賢人が諭されてきたのに いまだ人間は生物の本能レベルを越えておらず、愚かな世界史を続けている。人間が人間として生きる意義は 真智への愛にある と言える。
5) いわば創業者の偉大な精神が正確に、上手く伝えられず、ピタゴラス派のような対応をとっているのは、本末転倒で、そのようなことが世に溢れていると警戒していきたい。本来あるべきものが逆になっていて、社会をおかしくしている。
6) ゼロ除算の発見記念日に 繰り返し、人類の愚かさを反省して、明るい世界史を切り拓いて行きたい。
以 上
追記:
The division by zero is uniquely and reasonably determined as 1/0=0/0=z/0=0 in the natural extensions of fractions. We have to change our basic ideas for our space and world:
Division by Zero z/0 = 0 in Euclidean Spaces
Hiroshi Michiwaki, Hiroshi Okumura and Saburou Saitoh
International Journal of Mathematics and Computation Vol. 28(2017); Issue 1, 2017), 1-16.
http://www.scirp.org/journal/alamt http://dx.doi.org/10.4236/alamt.2016.62007
http://www.ijapm.org/show-63-504-1.html
http://www.diogenes.bg/ijam/contents/2014-27-2/9/9.pdf
http://www.ijapm.org/show-63-504-1.html
http://www.diogenes.bg/ijam/contents/2014-27-2/9/9.pdf
再生核研究所声明371(2017.6.27)ゼロ除算の講演― 国際会議 https://sites.google.com/site/sandrapinelas/icddea-2017 報告
http://ameblo.jp/syoshinoris/theme-10006253398.html
1/0=0、0/0=0、z/0=0
http://ameblo.jp/syoshinoris/entry-12276045402.html
1/0=0、0/0=0、z/0=0
http://ameblo.jp/syoshinoris/entry-12263708422.html
1/0=0、0/0=0、z/0=0
http://ameblo.jp/syoshinoris/entry-12272721615.html
再生核研究所声明 387 (2017.10.13):
ゼロ除算についての全体的な印象
ゼロ除算についての全体的な印象を述べて置こう。 まず、ゼロで割る問題 ゼロ除算1/0=0/0=0は、気づいてみれば 実は当たり前だった。これは初期から述べてきたように、有名なMoore-Penrose 一般逆であり、チコノフ正則化法による最も基本的な方程式ax=bの一般化された意味での解であり、ゼロ除算を含む体の構造(山田体)が確立され、高橋の一意性定理で我々の考え以外にゼロ除算は有り得ず、道脇方式の除算の考えにも合っているばかりか、美観や自然観からも自明、当たり前である。ゼロ除算は数学的に確定している。
さらに、この新しい数学が我々の一般的な数学であることを見るために、ユークリッド幾何学、線形代数、微積分学、解析幾何学、微分方程式、複素解析、確率統計学など数学の初歩から600件を超える知見を探して、現代数学には間違いを含む、初歩的な欠陥があり、我々の空間の認識は ユークリッド以来間違っていると述べ、著書素案原稿114ページを広く配布、助言と意見を求めている。日本数学会や国際会議でも発表、論文なども十分に公刊していると言える。 - ただ研究発表は 研究が初期的段階にあることもあって、権威ある形になっていないのは問題であるが、真実を求めようとすれば、内容は学部低学年レベルであるから、ゼロ除算の真相は 多くの人びとに容易に理解できると考えられる。しかし、現実には既に発見後3年を経過して4年目を迎えようとしている状況を考えると、理解が進まないのは誠に奇妙な状況と言える。その後も、どんどん変な書き物や解説が出ている状況がある。
ユークリッド以来、アリストテレス以来の事件であることを考えれば、無理もない状況とも言える。さらに神秘的なゼロ除算の重い歴史が回想される。今でも混乱が続いていて おかしな議論が止まない。
ゼロ除算については 数学界は世界史上でも汚点を残してきたと考えられるが、 真実が現れたのに その真偽を明らかにすることにも 時間を掛けすぎているように見える。数学は人間を超えて存在し、その論理的な展開には必然性があり、ゼロ除算の将来は 約束された豊かな新世界を拓いており、これは既に歴然で すっかり当たり前である。何事でも基礎、基本が優先され、尊重されるべきことは当然である。 - 人の生きる意義は 真智への愛、神の意志を求めることにあることを 想起して置きたい。
アリストテレス以来、空や無、非存在に対する恐怖心の感性が 人間の心の奥に潜んでいるようである。ゼロに対する畏敬の念は 誤解して、無神にも通じているようで ゼロ除算は嫌われる面を持っているようであるが ゼロの世界は 全ての母なる豊かな全体に通じていると明るく捉えている。 ( - 世の過程 は ゼロから始まってゼロに帰している。) 数学的には ゼロ除算は 美しく統一的に初等数学を完全化させてくれると言える。未知の広い新世界が広がっている。現代数学には初歩的な欠陥があると言える。
数学に初歩的な欠陥があるのに 何故、支障が起きなかったのかと言う素朴な疑問が湧いてくるかも知れない。計算機がゼロ除算に会って実害が出ていることを除いて、それは、不可能であると言って避けていた世界が見えていなかったことを意味し、実は我々の知らない広い世界が存在していて それは世界をより完全に見えるようになることを意味する。未知の大きな世界が存在していたということである。
ゼロ除算は \tan(\pi/2) =0 など、高校レベルの数学における基本的な性質を沢山導き、ユークリッド以来の空間の認識を変える基本的な数学で、しかも理論も高校生レベルで理解できるものであり、目も眩むほどに雄大に、深く進化している高級な現代数学に比べると極めて異例の数学だと言える。その影響の大きさを考えると、想像もできないほどに大きいと言える。天動説から地動説への変化を思わせる世界史上の事件である。
以 上
再生核研究所声明 386 (2017.10.12): ゼロ除算の反響と存念、想い出、物語
ゼロ除算については、日本数学会での講演も3年間、春、秋の数学会で連続的に6回講演してきたが、学会では慎重に対応し 十分に講演内容を明らかにして臨んだ。数学会のプログラムは印刷物で5000をこえる部数を配布し、アブストラクトなども公開されているから 発見の先取性も保証されているという。学会講演が重要視されるのは当然である。内容は初歩的で誰でも関心を抱く性質を基本的に有していると考えられ いろいろな分科会で講演している。講演の冒頭、世にも稀なる事件が起きたと述べてきたが、それは誠にそうである。
アヴェイロ大学にいるときに偶然発見したものであるが、最初から異様な雰囲気であった。あまりにも基本的で しかも驚くべき結果であるので、状況の理解が出来ず、広く世界に状況を聞いたものである。如何に驚き、慎重に対応したかは再生核研究所声明などに詳しく記録されている。最初から、これは世界史上の事件に係わり、将来ゼロ除算物語ができると感じていたからである。― 無限遠点がゼロで表され、 ユークリッド以来 空間の認識が変更される。アリストテレスの世界観の変更が要求される。そこで、自分自身永く迂闊には話せない心情が有った。そこで、典型的な反響は、まず、ゼロ除算の結果を聞いて、
数学的にそんな筈はなく、全然問題にならないと発想する者が多い。- この6月、大きな微分方程式の国際会議(https://sites.google.com/site/sandrapinelas/icddea-2017)に招待され、全体講演を行うまでに認知、評価されているが、講演の後、感情を露にして、現代数学を破壊するもので全然認められないと発言された人が居たが、それは、典型的で率直な反響の例である。― とんでもないという発想である。感情を露に始めから拒否する者は結構多く、いろいろな人の表情が想い出される(折をみて興味深い実例を客観的な事実として纏めて置きたい)。まるで悪魔を見たような表情である。- これらを記録するとゼロ除算物語の面白い場面になるだろう。- これらの反響はどうしてかと 繰り返し反芻して、想いを巡らしてきている。
まず、ゼロでは割れないは 生まれながらの定説で、偉大なる数学史の永い間の定説である。多くの天才たちが関与してきて、絶対に揺るぐことのない真実だと 真面目な数学者ほど その信仰は深いと考えられる。それで、ゼロ除算は初めからダメ、興味も関心もないと断定される。3年経っても私の考えは変わらないと 相当な数学者が断定しているのには驚かされる。ゼロ除算については 世界には 相当おかしなことを考えている人が多く、また変な説が現れたかと、無視の態度を取る者が多い。ここに述べたのは、ゼロ除算の新しい発見、論拠を知らずに 初めから関与したくない者の態度を述べている。- 兎に角事情を知らず、初めからゼロ除算はダメ、興味も関心もない - である。
それらの原因には、ゼロ、空や無に対するいやな感じと、連続性、飛びに対する受け入れられない感覚があると言える。数学依然の感覚の問題である。
ところがゼロ除算の内容を知っても ゼロ除算はダメだと考える数学者は多い。ここにも2通りの人がいる。数学を誤解して、矛盾に会って、受け入れられない者 と 相当正確に数学の内容を知っても受け入れられない者である。前者は矛盾であるから、正確な理解を求めるのは当然であるが、この観点でも世にも珍しい事件である。3年を超えて理論を詳しく解説し、議論しているのに、数学としてどうしても理解できない専門家がいる。- こうなると数学の論理で説得できない事情さえ現れている。- ゼロ除算は初期から、当たり前、自明であると述べてきているが、このような場合には、先に進めず、理解されるまで待つ他はない。論理などは難しいものはなく、せいぜい高校生程度の論理であるが、上記のような予断で論理を真面目に考えないことの理由であろう。先入観が理解を妨げていると言える。― このような態度をとらないようにするのが、数学教育の重要な精神の一つであるが、皮肉なことに 数学者ほど囚われているような状況である。これは ゼロ除算の歴史をみれば良く分かる、これは既に事実である。
(ここには、相当に研究してきてしまって、最早自らの説を変えられない存念で自説にしがみついている者も複数存在すると感じられる。BBCで世界に奇怪な説を公表した者、著書や間違った論文も結構多く出回っている。それら10数件について、それらはみなダメだと説得している。)
数学は、相当理解しているにも関わらず、ゼロ除算の数学はダメだ、それは齋藤の世界で、そのような数学はできないと発想している 真面目で有能な数学者も結構いる。この背景についても思いを巡らしている。どうしてだろう。あるドイツの方に国際会議の開催される町までバスで一緒になり 話したときの反響が極めて印象的である。関数 W= 1/z の原点での値はゼロであるなどと述べたとき、異様な表情をされて それは アリストテレスの世界観に反するので、受け入れられない、それが正しくとも そのような数学は受け入れられない、議論を打ち切りたいと 感情むき出しにしたものである。彼は極めて有能で紳士的な数学者である。20年以上も前にオーベルバッハ数学研究所での国際会議で 一緒で お互いの勇姿(?)の想い出を共有している。国際会議場や晩餐会、観光などで沢山写真を撮ってくれた。それ以来、ずっとアリストテレスを意識することとなったが、数学が分かっても新しい数学を受けいれられないのは、その心は、連続性が崩れている新しい現象のためと考えられる。無限の先が 突然、原点に飛んでいる現象が奇怪に感じられるためである。 ― しかし この点で、関数y=1/xの原点の値がゼロであることは、図を見て、原点が関数のグラフの中心になるので、それは良い、美しいと発想する者も多い。
そこで、我々の世界、数学はどうなっているか と問い、初等数学全般を見直すことにした。はじめは 新しい数学は変な小さな例外的な世界を記述するかも知れないという気持ちもあったが、円の鏡像の古典的な結果の間違いやx、y直交座標系でy軸の勾配がゼロであることを発見してから、どんどんゼロ除算が我々の世界に現れていて、我々の世界ではゼロ除算、関数にゼロ除算を適用したゼロ除算算法が無ければ、我々の数学は不完全で、従来数学の盲点が露になってきた。現代数学には間違いを含む欠陥があると主張している。そこで、この重要な内容の理解を求めて、114ページに全体的な解説を纏めて、下記のような文を付けて内外の数学者たちに広く意見を求めている:
Dear the leading mathematicians and colleagues:
Apparently, the common sense on the division by zero with a long and mysterious history is wrong and our basic idea on the space around the point at infinity is also wrong since Euclid. On the gradient or on derivatives we have a great missing since $\tan (\pi/2) = 0$. Our mathematics is also wrong in elementary mathematics on the division by zero.
I wrote a simple draft on our division by zero. The contents are elementary and have wide connections to various fields beyond mathematics. I expect you write some philosophy, papers and essays on the division by zero from the attached source.
____________
The division by zero is uniquely and reasonably determined as 1/0=0/0=z/0=0 in the natural extensions of fractions. We have to change our basic ideas for our space and world
Division by Zero z/0 = 0 in Euclidean Spaces
Hi roshi Michiwaki, Hiroshi Okumura and Saburou Saitoh
International Journal of Mathematics and Computation Vol. 28(2017); Issue 1, 2017), 1
-16.
http://www.scirp.org/journal/alamt http://dx.doi.org/10.4236/alamt.2016.62007
http://www.ijapm.org/show-63-504-1.html
http://www.diogenes.bg/ijam/contents/2014-27-2/9/9.pdf
http://okmr.yamatoblog.net/division%20by%20zero/announcement%20326-%20the%20divi
http://okmr.yamatoblog.net/
Relations of 0 and infinity
Hiroshi Okumura, Saburou Saitoh and Tsutomu Matsuura:
http://www.e-jikei.org/…/Camera%20ready%20manuscript_JTSS_A…
https://sites.google.com/site/sandrapinelas/icddea-2017
国内の方には次の文も加えている:
我々の初等数学には 間違いと欠陥がある。 学部程度の数学は 相当に変更されるべきである。しかしながら、ゼロ除算の真実を知れば、人間は 人間の愚かさ、人間が如何に予断と偏見、思い込みに囚われた存在であるかを知ることが出来るだろう。この意味で、ゼロ除算は 人間開放に寄与するだろう。世界、社会が混乱を続けているのは、人間の無智の故であると言える。
三角関数や2次曲線論でも理解は不完全で、無限の彼方の概念は、ユークリッド以来 捉えられていないと言える。(2017.8.23.06:30 昨夜 風呂でそのような想いが、新鮮な感覚で湧いて来た。)
ゼロ除算の優秀性、位置づけ : 要するに孤立特異点以外は すべて従来数学である。 ゼロ除算は、孤立特異点 そのもので、新しいことが言えるとなっている。従来、考えなかったこと、できなかったこと ができるようになったのであるから、ゼロ除算の優秀性は歴然である。 優秀性の大きさは、新しい発見の影響の大きさによる(2017.8.24.05:40)
思えば、我々は未だ微分係数、勾配、傾きの概念さえ、正しく理解されていないと言える。 目覚めた時そのような考えが独りでに湧いた。
現代数学には間違いがあり、欠陥がある、我々の空間の認識は間違っていると述べているので、相当の数学者は興味と関心を持たざるを得ないのではないだろうか。
しかしながら、それでも興味も関心を持たない人がいるが、それは あまりにも忙しく 他に興味や関心を抱く余裕がない状況に置かれているからではないだろうか。生活に追われたり、自分の専門にはまっている場合が多いのではないだろうか。数学などは 抽象的な世界とも言えるので、そんなことに関わっては居られないという心情、状況があるのではないだろうか。もちろん、意欲が無ければ論外である。興味、関心が無ければ始まらない。
しかしながら、1300年以上に亘って、算術の創始者が0/0は0であると定義していたものを それは間違いであると言ってきた世界の数学界は 相当おかしく、世界の数学界の恥ではないだろうか。またこのような状況に対しては研究者として 良心の呵責を感じてしまう。
以 上
再生核研究所声明 385(2017.10.11): 地の果て、無限の彼方、平面の究極の果てを観るー 永遠とは何か、無限の先の不思議さ
平面上をどこまでも どこまでもある直線上を一方方向に行ったらどうなるだろうか。永遠とはどのようなものだろうか? そのようなことを多くの人は自然に思う、考えるのではないだろうか。これについて どこまでも どこまでも行っても行き着くことはなく、どこまでも どこまでも行くと考えるのが、 ユークリッド幾何学に現れる空間の捉え方であった。― これは砂漠の文化を反映していると哲学の先生に聞いたことがある。果てしない空間と歩みからである。
これに対して、立体射影で平面を球面上に写せば、どのような方向に行っても球面上の北極に対応する点として無限遠点が考えられ、全平面は 球面上の北極点を除いた点に1対1に対応して、無限遠点を球面上の北極に対応させれば、全球面と拡張された平面は 全体が1対1に対応して、ある意味で平面は完全化される。 ― これはアレクサンドルフの1点コンパクト化と呼ばれている。平面上の直線も円も立体射影で球面上では円に写り、平面上の直線と円は、立体射影で球面上では、北極を通る円に対応するか、北極を通らない円に写るかの違いに過ぎないとなる。すると直線と円は全体として1対1に対応して、円を1方向に行けばぐるぐる回るように、平面上をどこまでも どこまでも直線上を一方方向に行ったら 無限遠点を経由して反対方向から戻ってくることになる。- (この詳しい説明はサイトで簡単に説明されているので知識の無い方は参照して下さい。 以下に出てくる、円の鏡像やローラン展開もそうです。) これは永劫回帰、輪廻思想を表現するものとして 実に美しく楽しい。- この思想は四季を有するアジア文化の世界観を表しているという。
上記2つの考えは、基本的な世界観で ユークリッド幾何学と非ユークリッド幾何学(楕円型)で、後者も確立して百年以上複素解析学を支える空間として定説になってきた。
ところがゼロ除算が齎した空間は これらとは全く異なる空間で、しかも、新しく発見された空間が 我々の初等数学全般を支える空間であることが 沢山の具体例で明らかにされてきた。
上記立体射影をもう1度振り帰えろう。その立体射影で、直線上を一方向にどんどん行けば、限りなく 球面上では 無限遠点に近づいていることが確認できる。そこで、その先、近づいた先を無限遠点として無限の記号で表してきた。どんどん球面上では北極に近づく、極限点は北極であると言える。しかしながら、ここで驚嘆すべきことがあった。近づいた先が無限遠点は良いが、実は究極の先で不連続性があって、突然、そこで 原点になっているというのが ゼロ除算の結果である。すなわち、W= 1/z に対して、 原点の値がゼロである。簡単な関数 y=1/x で原点の値はゼロである。ゼロの近くでプラス、マイナス無限に幾らでも近づくが、原点で不連続にゼロの値をとっている。繰り返し述べてきたようにこれが、アリストテレスの世界観に反し、ゼロ除算の理解を遅らせる、ゼロ除算が嫌われている一つの要素である。- 驚嘆すべき現象と言える。
どこまでも どこまでも直線上を一方方向に行ったら、限りなく無限遠点に近づく、しかしながらその先は、突然、原点に飛んでいる。動きの全体を簡単な関数y=1/xのグラフで理解して欲しい。
無限の先の不思議さに触れて行きたい。A を中心とするある円の、中心 A の鏡像は 世の常識と違って、実は中心 Aであることが証明された。中心Aの近くの点は無限遠点の近くに写るから、鏡像変換で中心 Aだけが 飛んで変に写っていることになる。この対応は円の半径には寄らない性質であることを確認したい。すると円外の無限遠点の近くが、中心 Aによることになり、無限遠点が一つだろうかという疑念が湧いてくるのではないだろうか。中心 Aごとに無限遠点が対応しているのではないだろうかとの思いがするだろう。- アレクサンドロフの1点コンパクト化とは、あらゆるコンパクト集合の外にある点を想像上で考えて1点コンパクト化と定義していて、1点は定義である。しかるに、立体射影では 原点の上に存在する北極点に対応する想像上の平面上の点として無限遠点が 定義されている。いずれも1点は定義で、イチ1についての意味は与えられていない。- さらに 立体射影が 平面の座標軸の取り方によっているのは歴然である。
さて、我々はゼロ除算算法を導入した。すなわち、 関数f(z)のa 点の周りでのローラン展開において 値f(a)を その展開における 定数項C_0で定義する。負べき項が存在するとき、z が aに近づくとき、f(z)は無限に、極に、無限遠点に近づくが、z が a自身ときは 値C_0をとる。この値は関数fによって 強力な不連続性で決まる。- これは無限の先に存在するという意味で、関数による無限遠点ともいえる。この値には不思議な性質があることを紹介しておこう:
次は 角の3等分を考えて生まれたNicomedes (BC 280—BC 120)の曲線である。
r = a + b/(cos theta);
a,b> 0 定数、x 軸を原線とする極座標。直線 x = bを考えるとこの関数のグラフは興味深い幾何学的な意味を有することが分かる(考えて欲しい)。もちろん、グラフはx 軸に対称で直線 x = bを漸近線にしている。aがゼロのとき、グラフは直線x = b である。しかしながらゼロ除算算法で、theta が 直角のとき、x,y直交座標系で、点(0,a)を表すことになり、この点の意味付けは 難しく神秘的とも言える。直線 x = bを漸近線にしているのに、奇妙な点(0,a)が曲線(関数)の無限遠点になっている。
次は Diocles (BC 249?-BC180?) の疾走線と呼ばれる面白い曲線であるが表現は複雑なので、適当な座標系で (2a –x)y^2 = x^3, r = 2a(1/ (cos theta) - cos theta) などと表されると述べるが、特異点ではいずれも美しい、関数のグラフの頂点が 無限遠点になる。この発現は実に面白い。― それにしてもギリシャ文化の素晴らしさに感銘を受けてしまう。
今回の話題はホットでいわば最前線の研究課題とも言えるので自由に考え、かつ新しい世界を探検して欲しい。元前橋工科大学教授 奥村博氏(Ph D.)の楽しい数学は大いに楽しめるのではないでしょうか。円と直線に関するユークリッド幾何学(和算)に ゼロ除算は新しい世界を拓いている。沢山ゼロ除算の結果が幾何学的に現れていて実に楽しい。それらは、 ユークリッド以来の新しい世界である。
以 上


















































ゼロ除算についての全体的な印象を述べて置こう。 まず、ゼロで割る問題 ゼロ除算1/0=0/0=0は、気づいてみれば 実は当たり前だった。これは初期から述べてきたように、有名なMoore-Penrose 一般逆であり、チコノフ正則化法による最も基本的な方程式ax=bの一般化された意味での解であり、ゼロ除算を含む体の構造(山田体)が確立され、高橋の一意性定理で我々の考え以外にゼロ除算は有り得ず、道脇方式の除算の考えにも合っているばかりか、美観や自然観からも自明、当たり前である。ゼロ除算は数学的に確定している。
さらに、この新しい数学が我々の一般的な数学であることを見るために、ユークリッド幾何学、線形代数、微積分学、解析幾何学、微分方程式、複素解析、確率統計学など数学の初歩から600件を超える知見を探して、現代数学には間違いを含む、初歩的な欠陥があり、我々の空間の認識は ユークリッド以来間違っていると述べ、著書素案原稿114ページを広く配布、助言と意見を求めている。日本数学会や国際会議でも発表、論文なども十分に公刊していると言える。 - ただ研究発表は 研究が初期的段階にあることもあって、権威ある形になっていないのは問題であるが、真実を求めようとすれば、内容は学部低学年レベルであるから、ゼロ除算の真相は 多くの人びとに容易に理解できると考えられる。しかし、現実には既に発見後3年を経過して4年目を迎えようとしている状況を考えると、理解が進まないのは誠に奇妙な状況と言える。その後も、どんどん変な書き物や解説が出ている状況がある。
ユークリッド以来、アリストテレス以来の事件であることを考えれば、無理もない状況とも言える。さらに神秘的なゼロ除算の重い歴史が回想される。今でも混乱が続いていて おかしな議論が止まない。
ゼロ除算については 数学界は世界史上でも汚点を残してきたと考えられるが、 真実が現れたのに その真偽を明らかにすることにも 時間を掛けすぎているように見える。数学は人間を超えて存在し、その論理的な展開には必然性があり、ゼロ除算の将来は 約束された豊かな新世界を拓いており、これは既に歴然で すっかり当たり前である。何事でも基礎、基本が優先され、尊重されるべきことは当然である。 - 人の生きる意義は 真智への愛、神の意志を求めることにあることを 想起して置きたい。
アリストテレス以来、空や無、非存在に対する恐怖心の感性が 人間の心の奥に潜んでいるようである。ゼロに対する畏敬の念は 誤解して、無神にも通じているようで ゼロ除算は嫌われる面を持っているようであるが ゼロの世界は 全ての母なる豊かな全体に通じていると明るく捉えている。 ( - 世の過程 は ゼロから始まってゼロに帰している。) 数学的には ゼロ除算は 美しく統一的に初等数学を完全化させてくれると言える。未知の広い新世界が広がっている。現代数学には初歩的な欠陥があると言える。
数学に初歩的な欠陥があるのに 何故、支障が起きなかったのかと言う素朴な疑問が湧いてくるかも知れない。計算機がゼロ除算に会って実害が出ていることを除いて、それは、不可能であると言って避けていた世界が見えていなかったことを意味し、実は我々の知らない広い世界が存在していて それは世界をより完全に見えるようになることを意味する。未知の大きな世界が存在していたということである。
ゼロ除算は \tan(\pi/2) =0 など、高校レベルの数学における基本的な性質を沢山導き、ユークリッド以来の空間の認識を変える基本的な数学で、しかも理論も高校生レベルで理解できるものであり、目も眩むほどに雄大に、深く進化している高級な現代数学に比べると極めて異例の数学だと言える。その影響の大きさを考えると、想像もできないほどに大きいと言える。天動説から地動説への変化を思わせる世界史上の事件である。
以 上
再生核研究所声明 386 (2017.10.12): ゼロ除算の反響と存念、想い出、物語
ゼロ除算については、日本数学会での講演も3年間、春、秋の数学会で連続的に6回講演してきたが、学会では慎重に対応し 十分に講演内容を明らかにして臨んだ。数学会のプログラムは印刷物で5000をこえる部数を配布し、アブストラクトなども公開されているから 発見の先取性も保証されているという。学会講演が重要視されるのは当然である。内容は初歩的で誰でも関心を抱く性質を基本的に有していると考えられ いろいろな分科会で講演している。講演の冒頭、世にも稀なる事件が起きたと述べてきたが、それは誠にそうである。
アヴェイロ大学にいるときに偶然発見したものであるが、最初から異様な雰囲気であった。あまりにも基本的で しかも驚くべき結果であるので、状況の理解が出来ず、広く世界に状況を聞いたものである。如何に驚き、慎重に対応したかは再生核研究所声明などに詳しく記録されている。最初から、これは世界史上の事件に係わり、将来ゼロ除算物語ができると感じていたからである。― 無限遠点がゼロで表され、 ユークリッド以来 空間の認識が変更される。アリストテレスの世界観の変更が要求される。そこで、自分自身永く迂闊には話せない心情が有った。そこで、典型的な反響は、まず、ゼロ除算の結果を聞いて、
数学的にそんな筈はなく、全然問題にならないと発想する者が多い。- この6月、大きな微分方程式の国際会議(https://sites.google.com/site/sandrapinelas/icddea-2017)に招待され、全体講演を行うまでに認知、評価されているが、講演の後、感情を露にして、現代数学を破壊するもので全然認められないと発言された人が居たが、それは、典型的で率直な反響の例である。― とんでもないという発想である。感情を露に始めから拒否する者は結構多く、いろいろな人の表情が想い出される(折をみて興味深い実例を客観的な事実として纏めて置きたい)。まるで悪魔を見たような表情である。- これらを記録するとゼロ除算物語の面白い場面になるだろう。- これらの反響はどうしてかと 繰り返し反芻して、想いを巡らしてきている。
まず、ゼロでは割れないは 生まれながらの定説で、偉大なる数学史の永い間の定説である。多くの天才たちが関与してきて、絶対に揺るぐことのない真実だと 真面目な数学者ほど その信仰は深いと考えられる。それで、ゼロ除算は初めからダメ、興味も関心もないと断定される。3年経っても私の考えは変わらないと 相当な数学者が断定しているのには驚かされる。ゼロ除算については 世界には 相当おかしなことを考えている人が多く、また変な説が現れたかと、無視の態度を取る者が多い。ここに述べたのは、ゼロ除算の新しい発見、論拠を知らずに 初めから関与したくない者の態度を述べている。- 兎に角事情を知らず、初めからゼロ除算はダメ、興味も関心もない - である。
それらの原因には、ゼロ、空や無に対するいやな感じと、連続性、飛びに対する受け入れられない感覚があると言える。数学依然の感覚の問題である。
ところがゼロ除算の内容を知っても ゼロ除算はダメだと考える数学者は多い。ここにも2通りの人がいる。数学を誤解して、矛盾に会って、受け入れられない者 と 相当正確に数学の内容を知っても受け入れられない者である。前者は矛盾であるから、正確な理解を求めるのは当然であるが、この観点でも世にも珍しい事件である。3年を超えて理論を詳しく解説し、議論しているのに、数学としてどうしても理解できない専門家がいる。- こうなると数学の論理で説得できない事情さえ現れている。- ゼロ除算は初期から、当たり前、自明であると述べてきているが、このような場合には、先に進めず、理解されるまで待つ他はない。論理などは難しいものはなく、せいぜい高校生程度の論理であるが、上記のような予断で論理を真面目に考えないことの理由であろう。先入観が理解を妨げていると言える。― このような態度をとらないようにするのが、数学教育の重要な精神の一つであるが、皮肉なことに 数学者ほど囚われているような状況である。これは ゼロ除算の歴史をみれば良く分かる、これは既に事実である。
(ここには、相当に研究してきてしまって、最早自らの説を変えられない存念で自説にしがみついている者も複数存在すると感じられる。BBCで世界に奇怪な説を公表した者、著書や間違った論文も結構多く出回っている。それら10数件について、それらはみなダメだと説得している。)
数学は、相当理解しているにも関わらず、ゼロ除算の数学はダメだ、それは齋藤の世界で、そのような数学はできないと発想している 真面目で有能な数学者も結構いる。この背景についても思いを巡らしている。どうしてだろう。あるドイツの方に国際会議の開催される町までバスで一緒になり 話したときの反響が極めて印象的である。関数 W= 1/z の原点での値はゼロであるなどと述べたとき、異様な表情をされて それは アリストテレスの世界観に反するので、受け入れられない、それが正しくとも そのような数学は受け入れられない、議論を打ち切りたいと 感情むき出しにしたものである。彼は極めて有能で紳士的な数学者である。20年以上も前にオーベルバッハ数学研究所での国際会議で 一緒で お互いの勇姿(?)の想い出を共有している。国際会議場や晩餐会、観光などで沢山写真を撮ってくれた。それ以来、ずっとアリストテレスを意識することとなったが、数学が分かっても新しい数学を受けいれられないのは、その心は、連続性が崩れている新しい現象のためと考えられる。無限の先が 突然、原点に飛んでいる現象が奇怪に感じられるためである。 ― しかし この点で、関数y=1/xの原点の値がゼロであることは、図を見て、原点が関数のグラフの中心になるので、それは良い、美しいと発想する者も多い。
そこで、我々の世界、数学はどうなっているか と問い、初等数学全般を見直すことにした。はじめは 新しい数学は変な小さな例外的な世界を記述するかも知れないという気持ちもあったが、円の鏡像の古典的な結果の間違いやx、y直交座標系でy軸の勾配がゼロであることを発見してから、どんどんゼロ除算が我々の世界に現れていて、我々の世界ではゼロ除算、関数にゼロ除算を適用したゼロ除算算法が無ければ、我々の数学は不完全で、従来数学の盲点が露になってきた。現代数学には間違いを含む欠陥があると主張している。そこで、この重要な内容の理解を求めて、114ページに全体的な解説を纏めて、下記のような文を付けて内外の数学者たちに広く意見を求めている:
Dear the leading mathematicians and colleagues:
Apparently, the common sense on the division by zero with a long and mysterious history is wrong and our basic idea on the space around the point at infinity is also wrong since Euclid. On the gradient or on derivatives we have a great missing since $\tan (\pi/2) = 0$. Our mathematics is also wrong in elementary mathematics on the division by zero.
I wrote a simple draft on our division by zero. The contents are elementary and have wide connections to various fields beyond mathematics. I expect you write some philosophy, papers and essays on the division by zero from the attached source.
____________
The division by zero is uniquely and reasonably determined as 1/0=0/0=z/0=0 in the natural extensions of fractions. We have to change our basic ideas for our space and world
Division by Zero z/0 = 0 in Euclidean Spaces
Hi roshi Michiwaki, Hiroshi Okumura and Saburou Saitoh
International Journal of Mathematics and Computation Vol. 28(2017); Issue 1, 2017), 1
-16.
http://www.scirp.org/journal/alamt http://dx.doi.org/10.4236/alamt.2016.62007
http://www.ijapm.org/show-63-504-1.html
http://www.diogenes.bg/ijam/contents/2014-27-2/9/9.pdf
http://okmr.yamatoblog.net/division%20by%20zero/announcement%20326-%20the%20divi
http://okmr.yamatoblog.net/
Relations of 0 and infinity
Hiroshi Okumura, Saburou Saitoh and Tsutomu Matsuura:
http://www.e-jikei.org/…/Camera%20ready%20manuscript_JTSS_A…
https://sites.google.com/site/sandrapinelas/icddea-2017
国内の方には次の文も加えている:
我々の初等数学には 間違いと欠陥がある。 学部程度の数学は 相当に変更されるべきである。しかしながら、ゼロ除算の真実を知れば、人間は 人間の愚かさ、人間が如何に予断と偏見、思い込みに囚われた存在であるかを知ることが出来るだろう。この意味で、ゼロ除算は 人間開放に寄与するだろう。世界、社会が混乱を続けているのは、人間の無智の故であると言える。
三角関数や2次曲線論でも理解は不完全で、無限の彼方の概念は、ユークリッド以来 捉えられていないと言える。(2017.8.23.06:30 昨夜 風呂でそのような想いが、新鮮な感覚で湧いて来た。)
ゼロ除算の優秀性、位置づけ : 要するに孤立特異点以外は すべて従来数学である。 ゼロ除算は、孤立特異点 そのもので、新しいことが言えるとなっている。従来、考えなかったこと、できなかったこと ができるようになったのであるから、ゼロ除算の優秀性は歴然である。 優秀性の大きさは、新しい発見の影響の大きさによる(2017.8.24.05:40)
思えば、我々は未だ微分係数、勾配、傾きの概念さえ、正しく理解されていないと言える。 目覚めた時そのような考えが独りでに湧いた。
現代数学には間違いがあり、欠陥がある、我々の空間の認識は間違っていると述べているので、相当の数学者は興味と関心を持たざるを得ないのではないだろうか。
しかしながら、それでも興味も関心を持たない人がいるが、それは あまりにも忙しく 他に興味や関心を抱く余裕がない状況に置かれているからではないだろうか。生活に追われたり、自分の専門にはまっている場合が多いのではないだろうか。数学などは 抽象的な世界とも言えるので、そんなことに関わっては居られないという心情、状況があるのではないだろうか。もちろん、意欲が無ければ論外である。興味、関心が無ければ始まらない。
しかしながら、1300年以上に亘って、算術の創始者が0/0は0であると定義していたものを それは間違いであると言ってきた世界の数学界は 相当おかしく、世界の数学界の恥ではないだろうか。またこのような状況に対しては研究者として 良心の呵責を感じてしまう。
以 上
再生核研究所声明 385(2017.10.11): 地の果て、無限の彼方、平面の究極の果てを観るー 永遠とは何か、無限の先の不思議さ
平面上をどこまでも どこまでもある直線上を一方方向に行ったらどうなるだろうか。永遠とはどのようなものだろうか? そのようなことを多くの人は自然に思う、考えるのではないだろうか。これについて どこまでも どこまでも行っても行き着くことはなく、どこまでも どこまでも行くと考えるのが、 ユークリッド幾何学に現れる空間の捉え方であった。― これは砂漠の文化を反映していると哲学の先生に聞いたことがある。果てしない空間と歩みからである。
これに対して、立体射影で平面を球面上に写せば、どのような方向に行っても球面上の北極に対応する点として無限遠点が考えられ、全平面は 球面上の北極点を除いた点に1対1に対応して、無限遠点を球面上の北極に対応させれば、全球面と拡張された平面は 全体が1対1に対応して、ある意味で平面は完全化される。 ― これはアレクサンドルフの1点コンパクト化と呼ばれている。平面上の直線も円も立体射影で球面上では円に写り、平面上の直線と円は、立体射影で球面上では、北極を通る円に対応するか、北極を通らない円に写るかの違いに過ぎないとなる。すると直線と円は全体として1対1に対応して、円を1方向に行けばぐるぐる回るように、平面上をどこまでも どこまでも直線上を一方方向に行ったら 無限遠点を経由して反対方向から戻ってくることになる。- (この詳しい説明はサイトで簡単に説明されているので知識の無い方は参照して下さい。 以下に出てくる、円の鏡像やローラン展開もそうです。) これは永劫回帰、輪廻思想を表現するものとして 実に美しく楽しい。- この思想は四季を有するアジア文化の世界観を表しているという。
上記2つの考えは、基本的な世界観で ユークリッド幾何学と非ユークリッド幾何学(楕円型)で、後者も確立して百年以上複素解析学を支える空間として定説になってきた。
ところがゼロ除算が齎した空間は これらとは全く異なる空間で、しかも、新しく発見された空間が 我々の初等数学全般を支える空間であることが 沢山の具体例で明らかにされてきた。
上記立体射影をもう1度振り帰えろう。その立体射影で、直線上を一方向にどんどん行けば、限りなく 球面上では 無限遠点に近づいていることが確認できる。そこで、その先、近づいた先を無限遠点として無限の記号で表してきた。どんどん球面上では北極に近づく、極限点は北極であると言える。しかしながら、ここで驚嘆すべきことがあった。近づいた先が無限遠点は良いが、実は究極の先で不連続性があって、突然、そこで 原点になっているというのが ゼロ除算の結果である。すなわち、W= 1/z に対して、 原点の値がゼロである。簡単な関数 y=1/x で原点の値はゼロである。ゼロの近くでプラス、マイナス無限に幾らでも近づくが、原点で不連続にゼロの値をとっている。繰り返し述べてきたようにこれが、アリストテレスの世界観に反し、ゼロ除算の理解を遅らせる、ゼロ除算が嫌われている一つの要素である。- 驚嘆すべき現象と言える。
どこまでも どこまでも直線上を一方方向に行ったら、限りなく無限遠点に近づく、しかしながらその先は、突然、原点に飛んでいる。動きの全体を簡単な関数y=1/xのグラフで理解して欲しい。
無限の先の不思議さに触れて行きたい。A を中心とするある円の、中心 A の鏡像は 世の常識と違って、実は中心 Aであることが証明された。中心Aの近くの点は無限遠点の近くに写るから、鏡像変換で中心 Aだけが 飛んで変に写っていることになる。この対応は円の半径には寄らない性質であることを確認したい。すると円外の無限遠点の近くが、中心 Aによることになり、無限遠点が一つだろうかという疑念が湧いてくるのではないだろうか。中心 Aごとに無限遠点が対応しているのではないだろうかとの思いがするだろう。- アレクサンドロフの1点コンパクト化とは、あらゆるコンパクト集合の外にある点を想像上で考えて1点コンパクト化と定義していて、1点は定義である。しかるに、立体射影では 原点の上に存在する北極点に対応する想像上の平面上の点として無限遠点が 定義されている。いずれも1点は定義で、イチ1についての意味は与えられていない。- さらに 立体射影が 平面の座標軸の取り方によっているのは歴然である。
さて、我々はゼロ除算算法を導入した。すなわち、 関数f(z)のa 点の周りでのローラン展開において 値f(a)を その展開における 定数項C_0で定義する。負べき項が存在するとき、z が aに近づくとき、f(z)は無限に、極に、無限遠点に近づくが、z が a自身ときは 値C_0をとる。この値は関数fによって 強力な不連続性で決まる。- これは無限の先に存在するという意味で、関数による無限遠点ともいえる。この値には不思議な性質があることを紹介しておこう:
次は 角の3等分を考えて生まれたNicomedes (BC 280—BC 120)の曲線である。
r = a + b/(cos theta);
a,b> 0 定数、x 軸を原線とする極座標。直線 x = bを考えるとこの関数のグラフは興味深い幾何学的な意味を有することが分かる(考えて欲しい)。もちろん、グラフはx 軸に対称で直線 x = bを漸近線にしている。aがゼロのとき、グラフは直線x = b である。しかしながらゼロ除算算法で、theta が 直角のとき、x,y直交座標系で、点(0,a)を表すことになり、この点の意味付けは 難しく神秘的とも言える。直線 x = bを漸近線にしているのに、奇妙な点(0,a)が曲線(関数)の無限遠点になっている。
次は Diocles (BC 249?-BC180?) の疾走線と呼ばれる面白い曲線であるが表現は複雑なので、適当な座標系で (2a –x)y^2 = x^3, r = 2a(1/ (cos theta) - cos theta) などと表されると述べるが、特異点ではいずれも美しい、関数のグラフの頂点が 無限遠点になる。この発現は実に面白い。― それにしてもギリシャ文化の素晴らしさに感銘を受けてしまう。
今回の話題はホットでいわば最前線の研究課題とも言えるので自由に考え、かつ新しい世界を探検して欲しい。元前橋工科大学教授 奥村博氏(Ph D.)の楽しい数学は大いに楽しめるのではないでしょうか。円と直線に関するユークリッド幾何学(和算)に ゼロ除算は新しい世界を拓いている。沢山ゼロ除算の結果が幾何学的に現れていて実に楽しい。それらは、 ユークリッド以来の新しい世界である。
以 上





















































0 件のコメント:
コメントを投稿